در حال بارگذاری ...

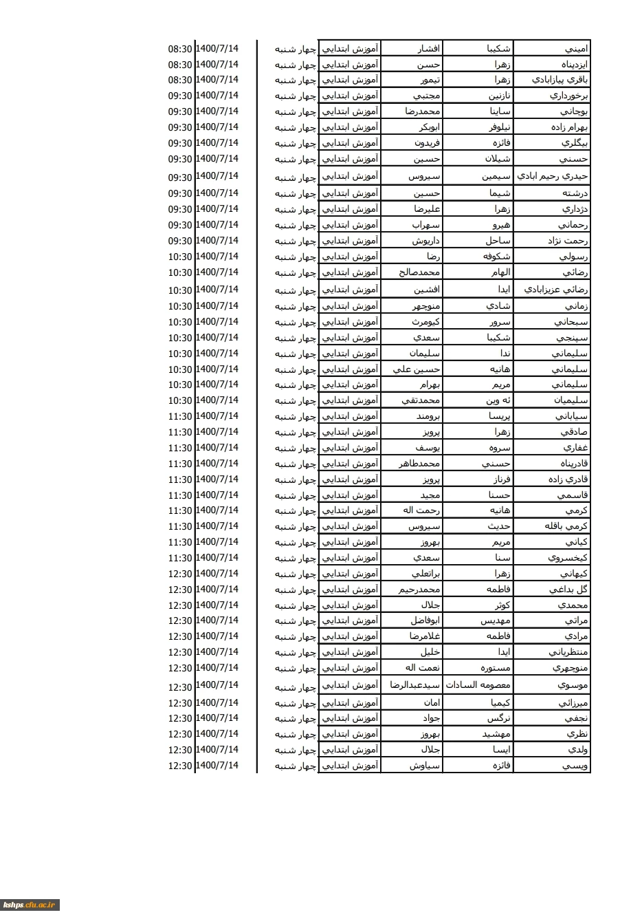
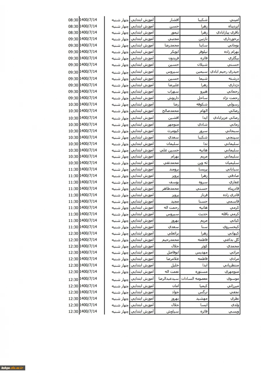
اطلاعیه ثبت نام حضوری پذیرفته شدگان (کارشناسی پیوسته ۱۴۰۰ )پردیس شهید صدوقی 4

اطلاعیه ثبت نام حضوری پذیرفته شدگان (کارشناسی پیوسته ۱۴۰۰ )پردیس شهید صدوقی 4

شماره فایل: 619114
حجم فایل: 470.28 KB | اندازه تصویر: 934 * 1333
تعداد بازدید: 31 | آخرین بازدید:


دانلود